表彰 | 让技能大赛成为轻工人才成长的阳光大道
来源: 中国工艺美术学会 时间:2021-12-11 浏览量:18

为贯彻落实习近平总书记关于技能人才工作的重要指示,发挥技能竞赛对人才培养的推动作用,总结部署轻工职业技能竞赛工作,5月31日,2021全国行业职业技能竞赛—轻工大赛动员大会在成都举行,中国轻工业联合会会长张崇和出席会议并讲话。人社部职业能力建设司副司长刘新昌、中国财贸轻纺烟草工会主席王倩出席会议并致辞。中国财贸轻纺烟草工会副主席郭振友;中国轻工业联合会党委副书记王世成,秘书长杜同和,纪委书记陶小年,副会长何烨、贾志忍,党委常委李玉中、刘素文出席会议。会议由中国轻工业联合会党委副书记徐祥楠主持。
各轻工行业协会、学会负责人,有关地方政府领导同志,轻工行业全国“五一”劳动奖获得者,首届全国职业技能大赛中国轻工联代表团获奖选手,2019—2020年轻工行业“全国技术能手”,2020年全国轻工技术能手,轻工大赛有关获奖单位代表,2021年职业技能竞赛裁判员等近1000人参加会议。

刘新昌在致辞中指出,目前,我国已经形成了以世界技能大赛为引领,中华人民共和国职业技能大赛为龙头,全国行业职业技能竞赛和地方各级职业技能竞赛以及专项赛为主体,企业和院校职业技能比赛为基础的、具有中国特色的职业技能竞赛体系,每年为各行各业选拔培养了成千上万的技能人才。刘新昌指出,今年人社部将与中国轻工业联合会共同组织一类竞赛,同时,中国轻工业联合会还将举办二类赛和行业赛。和往年相比,轻工大赛在规模和层次上都达到了新高度。刘新昌对办好轻工大赛提出四点建议。一要绿色开放办赛,二要公平公正办赛,三要拓展大赛功能,四要做好宣传推广,推动培养更多高素质技术技能人才、能工巧匠、大国工匠。

王倩在致辞中表示,今年的各项技能大赛工作,中国财贸轻纺烟草工会将按照竞赛组委会的分工,努力做好组织动员、大赛监审、竞赛表彰、宣传总结等工作。王倩表示,希望轻工行业立足行业特点,将技能竞赛继续向中小微企业、非公企业延伸,向新技术新业态新模式领域拓展,推动竞赛成绩同劳模评选、职称评定、技术等级认定、工资收入等逐步融合。要进一步健全以企业为基础,以行业竞赛为主体,国内竞赛与国际竞赛相衔接的劳动和技能竞赛体系,为优秀产业工人发挥作用搭建平台、提供舞台。

张崇和在讲话中指出,技能人才是国家人才队伍的重要组成部分,是兴业之本、发展之源。职业技能大赛是建设高质量技能人才队伍的有效途径。
张崇和表示,近年来,中国轻工业联合会和有关轻工协会,以服务轻工业高质量发展为宗旨,多层次多形式地开展了职业技能竞赛。截止目前,共同举办国家二类技能竞赛66届次,涉及16个轻工行业、36个职业工种,参赛选手超过50万人,决赛选手2.5万人,产生全国技术能手440名、轻工技术能手1771名。28名选手荣获国家“五一”劳动奖章。轻工职业技能大赛,为轻工业转型发展,培养选拔了一大批技艺精湛、行业领先、具有国际竞争力的高技能人才。
张崇和指出,2020年,轻工大赛工作取得了显著的新成效。一是竞赛选拔取得新成果。圆满完成了12项24个职业的国家二类竞赛和1项行业竞赛。共有12450名选手参加预赛,1878名选手参加总决赛。通过竞赛比拼,层层选拔, 73名选手获得“全国技术能手”称号,269名选手获得“全国轻工技术能手”称号,5名选手荣获国家“五一”劳动奖章。二是规范办赛有了新提升。中国轻工联发布《全国轻工职业技能竞赛指导意见》,加强对技能竞赛的技术指导和规范管理,对大赛组织流程、赛区设置、预赛报名、决赛入围、竞赛奖励、裁判员选拔、专家管理、纪律监督作出了详细规定,为有序开展大赛提供了有力的制度保障。大赛各组织单位制定了各项赛事的《竞赛手册》和《服务手册》,极大地提升了轻工职业技能竞赛的权威性和规范性。三是冲击世赛迈出新步伐。中国轻工业联合会首次组织轻工联代表队,参加第46届世界技能大赛选拔赛。全队5名选手奋勇争先,夺得两金两银一铜的优异成绩,全部入选第46届世界技能大赛中国集训队,代表轻工行业技能人才,迈出了冲击世赛、走向国际的新步伐。因组织工作表现突出,中国轻工业联合会被大赛组委会授予“优秀组织奖”。四是大赛交流展现新风采。组织“湘绣”和“中国陶瓷技艺-拉坯绝技”,参加“全国第一届职业技能大赛中华绝技”展演活动,“拉坯绝技”获得了中华十大绝技称号;组织 “中国传统图案传承与创新应用”等六个项目,参加大赛展示交流,向社会各界展示了轻工技能传承创新的崭新风采。
张崇和强调,今年,轻工竞赛工作再开新局,迎来了更加广阔的发展空间。按照人力资源社会保障部统筹安排,中国轻工业联合会,将协助国家人社部,共同开展全国工业设计国家一类职业技能大赛;将联合有关轻工行业协会、中国就业培训技术指导中心、中国财贸轻纺烟草工会,共同举办全国焙烤职业技能竞赛等12项国家二类竞赛;还将举办全国首届互联网营销师职业技能竞赛等7项行业竞赛。轻工竞赛项目新增,规格提升,规模扩大,新职业新技能首次逐鹿赛场,一类大赛、二类大赛、行业大赛统筹发展。
1
一是高度重视,全力办好轻工各类大赛。
2
二是精心组织,力争技能竞赛高质高效。
3
三是优化赛场,确保技术能手脱颖而出。
4
四是广集众智,努力办好国家一类大赛。
5
五是以赛兴业,服务轻工业高质量发展。
一是以赛促学。加强竞赛成果转化,把竞赛中的新知识、新技能,转化为职业教育教学的新内容,进教材,进课堂,推动轻工职业技能人才培养的质量提升。二是以赛促评。推进大赛选拔与能力评价相衔接。符合条件的大赛获奖选手,晋升相应的职业能力等级,授予相应的职业能力证书,获得同等效力的评价认证。通过技能竞赛,促进轻工职业能力评价,让权威公正有效的大赛品牌,在轻工职业能力评价中熠熠生辉,进一步推动轻工职业技能等级评价做大做强做优做响。三是以赛树风。大力宣传精益求精、勇争一流的赛场精神,弘扬重视技能、重视人才的先进理念,营造“技行天下、能强轻工”的行业氛围,推动树立技能成才、技能兴业的良好风尚。四是以赛强企。积极推动大赛技术标准进企业,进行业,促进行业技术创新,推动企业工艺进步,激励劳动者成长成才,带动企业转型升级。要让职业技能竞赛,更大范围更加有效地服务轻工行业高质量发展。
2019、2020年轻工大赛共产生122名全国技术能手入围者。2020年轻工大赛共产生269人名全国轻工技术能手。大会还为全国行业职业技能竞赛——轻工大赛优秀裁判奖、突出贡献奖、优秀组织奖及轻工技能人才培育突出贡献奖颁发了奖牌。中国工艺美术学会专职副理事长任建新出席了本次活动并为获奖选手颁奖。

根据国务院人力资源社会保障部《关于组织开展2020年全国行业职业技能竞赛的通知》(人社部[2020]30号)的要求,中国轻工业联合会、中国工艺美术学会、中国就业培训技术指导中心和中国财贸轻纺烟草工会全国委员会于去年9月-11月联合举办了2020年全国行业职业技能竞赛——全国工艺品制作职业技能竞赛。本竞赛为国家级二类职业技能竞赛活动,其中包括:漆器制胎工、漆器髹漆工、工艺品雕刻工(石雕工)三项职业(工种),以“新时代、新技能、新梦想”为主题,着力打造工艺美术行业的品牌化技能竞赛,营造劳动光荣、技能宝贵、创造伟大的社会风尚。
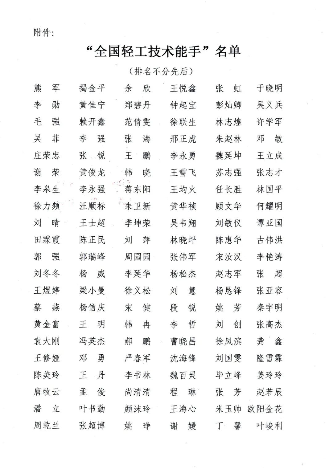
为贯彻落实党中央、国务院《关于进一步加强高技能人才工作的意见》,表彰和宣传轻工行业优秀技能人才,推动轻工行业高技能人才队伍建设,根据《全国轻工业职业技能竞赛指导意见》和《全国轻工行业技术能手评选表彰管理办法》的有关规定,经对2020年轻工各行业职业技能竞赛结果复核确认,中国轻工业联合会决定授予我会9名获奖选手“全国技术能手”入围奖、36名获奖选手“全国轻工技术能手”荣誉称号、3名裁判轻工大赛优秀裁判奖、1个轻工大赛突出贡献奖、3个轻工技能人才培育突出贡献奖。
望获得荣誉称号的同志和单位,再接再厉,发挥榜样引领作用,学习新知识,掌握新技能,创造新业绩,不断提高岗位服务能力,为推动本职业(工种)技能水平发展进步,做出更大的贡献。




图 2019-2020年轻工行业全国技术能手入围奖/颁奖现场


图 2020年全国轻工技术能手/颁奖现场

图 轻工技能人才培育突出贡献奖/颁奖现场

图 全国行业职业技能竞赛——轻工大赛突出贡献奖/颁奖现场












